公务员考试论坛

 找回密码
 立即注册
查看: 127|回复: 0

2016行测备考资料:数量关系精练及解析(12)

[复制链接]

63万

主题

63万

帖子

190万

积分

论坛元老

Rank: 8Rank: 8

积分
1907966
发表于 2017-7-29 18:45:39 | 显示全部楼层 |阅读模式
【例题】891,682,363,154,()
    A.143    B.129    C.76    D.48
    【例题】10,11,35,185,()
    A.1302    B.1344    C.930    D.1116
    【例题】-2,0,5,16,33,()
    A59    B.52    C.53    D.56
    【例题】
   

    【例题】
   

    【解析】A。数列每一项都是三位数,且百位数与个位数之和为十位数,四个选项中只有A项符合要求,故答案为A。
    【解析】A。本题为递推数列。10×1+1=11,11×3+3=36,36×5+5=185,由此可知下一项为185×7+7=1302。故本题答案为A。
    【解析】D。两两做差后可得到的数列2,5,11,17均为质数,且它们在整理质数列中是间隔出现的,因此下一个质数应为23,空缺项为33+23=56,故本题答案为D。
    【解析】C。(5-3×(9-6)=6,(2-6)×(8-11)=12,(5-0×(7-6)=5,故问号处应为5。
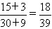
    【解析】C。将原数列中的小数全部转化为分数形式:

可知分子为公差为3的等差数列,分母为二级等差数列,则空缺项为

,本题答案为C。
回复

使用道具 举报

您需要登录后才可以回帖 登录 | 立即注册

本版积分规则

小黑屋|手机版|Archiver|新都网

GMT+8, 2025-12-1 18:05 , Processed in 0.040337 second(s), 9 queries , WinCache On.

Powered by Discuz! X3.4

© 2001-2017 Comsenz Inc.

快速回复 返回顶部 返回列表