公务员考试论坛

 找回密码
 立即注册
查看: 229|回复: 0

2016行测备考资料:数量关系精练及解析(13)

[复制链接]

63万

主题

63万

帖子

190万

积分

论坛元老

Rank: 8Rank: 8

积分
1907966
发表于 2017-7-29 18:45:37 | 显示全部楼层 |阅读模式
【例题】891,682,363,154,()
    A.143    B.129    C.76    D.48
    【例题】10,11,35,185,()
    A.1302    B.1344    C.930    D.1116
    【例题】-2,0,5,16,33,()
    A59    B.52    C.53    D.56
    【例题】
   

    【例题】
   

    【解析】A。数列每一项都是三位数,且百位数与个位数之和为十位数,四个选项中只有A项符合要求,故答案为A。
    【解析】A。本题为递推数列。10×1+1=11,11×3+3=36,36×5+5=185,由此可知下一项为185×7+7=1302。故本题答案为A。
    【解析】D。两两做差后可得到的数列2,5,11,17均为质数,且它们在整理质数列中是间隔出现的,因此下一个质数应为23,空缺项为33+23=56,故本题答案为D。
    【解析】C。(5-3×(9-6)=6,(2-6)×(8-11)=12,(5-0×(7-6)=5,故问号处应为5。
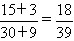
    【解析】C。将原数列中的小数全部转化为分数形式:
   

    可知分子为公差为3的等差数列,分母为二级等差数列,则空缺项为
   

    ,本题答案为C。
    【解析】C。思路一:设乙跑一圈为T秒,圆圈的长度为S,则有:S÷(S/40+S/T)=15,T=24秒
    思路二:甲速度a 乙速度b 一圈M。15(a+b)=M M=40a 得出 a/b=3/5,a/b=?/40,?=24
    【解析】思路一:设甲速度为X,乙速度为Y,距离就是4X+4Y,列方程4X+4Y=7X,7X=7Y+70,解得Y=30,X=40
    思路二:4小时两车走完全程。3小时剩下70公里。那么一共就是4×70=280公里。
    思路三:设路程为1。甲的时速就是1/7。乙的时速是甲的3/4。(因为相遇后的路程,乙走了4小时而甲只走了3小时)。所以和这70KM对应的就是:1-3/7(甲走过的)-3/4×3/7(乙走过的是甲的3/4)。用70除以这家伙就行了。70/(1-3/7-3/4×3/7)=280。
    【解析】A。
    思路一:取9,5,4得最小公倍数为180,180×1+7;180×2+7……180×5+7,共5个。
    思路二:除以5余2,尾数是2或者7, 除以4余3 说明尾数是奇数7,除以9余7,除以4余3 最小数字7满足条件,令这数为 36N+7 要满足尾数是7
N只能取5的倍数 (5 10 15 20 25 )。
    【解析】A。长方体有6个面,可以分成3组,且每组中的2个空间上相对,面积上相等。具体来说,可以分成长宽为20、18的一组,长宽为18、16的一组,长宽为20、16的一组,3组中能内接的圆形的直径分别为18,16,16,半径分别为9,8,8,此时,圆柱体高分别为16,20,18,因此会产生3个体积,即3.14×9×9×16,3.14×8×8×20,3.14×8×8×18,计算结果分别为4069.44,4019.2,3617.28。因为题目所求为最大,因此3.14×8×8×18可以省略不去计算,对于3.14×9×9×16和3.14×8×8×20只要计算9×9×16和8×8×20大小,然后再乘以3.14就可以求出。
回复

使用道具 举报

您需要登录后才可以回帖 登录 | 立即注册

本版积分规则

小黑屋|手机版|Archiver|新都网

GMT+8, 2025-12-1 19:04 , Processed in 0.051467 second(s), 9 queries , WinCache On.

Powered by Discuz! X3.4

© 2001-2017 Comsenz Inc.

快速回复 返回顶部 返回列表