|
|
四则运算
这类题型只涉及加、减、乘、除等基本运算法则,主要是数字的运算,关键在于找捷径和简便方法。 以下介绍几种简便方法。
(一)尾数估算法
尾数估算法是简便运算中常用的一种排除备选项的方法。在四则运算中,如果几个数的数值较
大,又似乎没有什么规律可循,可以先利用个位或小数部分进行运算得到尾数,再与选项中的尾数部
分进行对比,如果有唯一的对应项,就可立即找到答案;如果对应项不唯一,再按部就班进行笔算。
1.基本算式
【例题 1】1765 + 2483 + 3967 + 1452=( )
A.9667 B. 9665 C.9669 D. 9668
【解析】答案为A。先将各个数字尾数相加,5 + 3 + 7 + 2 = 17,然后将得到的数值与答案的尾数一
一对照得出答案。尾数相加确定答案的尾数为7,B、C、D都不符合,故选A项。
小技巧:
运用尾数估算法时,先观察四个选项的尾数是否相同,如果不相同则适宜用尾数估算法。
【例题 2】12. 3 + 45. 6 + 78. 9 + 98. 7 + 65. 4 + 32. 1 =( )
A.333 B. 332 C.333.3 D.332.3
【解析】答案为A。先将题中各个数字的小数点部分相加得出尾数,然后再将个位数部分相加,本 题中小数相加得到3.0排除C、D;小数点前的个位相加得2 +
5 + 8 + 8 + 5 + 2 = 30,尾数是0,加上3 确定答案的尾数是3,故答案是A。
【例题 3】1 + 2 + 3 + 4+···+n=2005003,则自然数 n=( )
A.2000 B. 2001 C.2002 D. 2003
【解析】答案为 C。1 + 2 + 3 +···+n= [ n(n+l)]/2=2005003即 n(n +1) =2×
2005003,尾数为6,代入法,结合选项,只有2002X2003尾数为6,故n = 2002。
2.自然数n次方的尾数变化情况
这类题型的考查方式是求出一个数的n次幂,通常幂数较大,如果用一般方法是很难快速解答 的,因此考生应熟练掌握幂的尾数变化,牢记下列公式。
我们首先观察2 n的变化情况:
21的尾数是2,
22的尾数是4,
23的尾数是8,
24的尾数是6,
25的尾数又是2,我们发现2的尾数变化是以“4”为周期变化的,即21,25,29,…,24n+1的尾数都是相同的。
3 n是以“4”为周期进行变化的,分别为3,9,7,1,3,9,7,1,···
7 n是以“4”为周期进行变化的,分别为7,9,3,1,7,9,3,1,···
8 n是以“4”为周期进行变化的,分别为8,4,2,6,8,4,2,6,…
4 n是以“2”为周期进行变化的,分别为4,6,4,6,···
9 n是以“2”为周期进行变化的,分别为9,1,9,1,···
5 n,6 n尾数不变。
【例题1】19991998的末位数字是( )
A. 1 B. 3 C. 7 D. 9
【解析】答案为A。此题显然不是要求考生逐次进行计算。本题只要采用观察尾数法便能很快得
出正确答案。因为9的奇数次幂尾数为9,偶数次幂尾数为1,1998为偶数次幂,故19991998的末位数 字应当为1。
【例题2】19881989+19891988的个位数是( )
A. 9 B. 7 C. 5 D. 3
【解析】答案为A。由以上知识点我们可知19881989的尾数是由81989的尾数确定的,1989+4 = 497余
1,所以81989的尾数和81的尾数是相同的,即19881989的尾数为8。我们再来看19891988的尾数是由91988的
尾数确定的,9的偶次方尾数为1。综上我们可以得到19881989+19891989的尾数是8 + 1 = 9。
(二)凑整法
凑整法是简便运算中最常用的方法,即根据交换律、结合律,把可以凑成10,20,30, 50,100,
1000,…的数放在一起运算,从而提高运算速度。
【例题 1】34.16 + 47. 82 + 53. 84 + 64. 18 的值为( )
A.198 B. 200 C.201 D.203
【解析】答案为B。四个数都由整数部分和小数部分组成,因而可以将它分成两部分来考虑。整
数部分第二、三数字之和为100,第一、四数字之和为98,即整数部分的和为198。小数部分第一、三数
字之和为1,第二、四数字之和为1,即小数部分的和为2。故两部分之和为200。
【例题 2】8865 -721 - 306 -279 -694=( )
A.5560 B.5960 C.6865 D. 7430
【解析】答案为 C。8865 - 721 -306 -279 -694 = 8865 -(721 + 279) -(306 +
694)=6865。
【例题3】3×999 + 8×99 + 4×9 + 8 + 7的值是( )
A.3840 B. 3855 C.3866 D. 3877
【解析】答案为A。
原式=3× (1000 -1)+8× (100-1)+4 × (10-1)+8 + 7 = 3000-3 + 800-8 + 40-4 + 8 + 7
= 3840
【导读】公务员行测备考之数量关系-数学运算-四则运算
【例题4】125×437×32×25的值为( )
A.43700000 B.87400000 C. 87455000 D. 43755000
【解析】答案为A。本题也不需要直接计算,只要分解即可:
125×437×32×25 =125×32×25×437= 125×8×4×25×437 = 1000×100×437 = 43700000
(三)基准数法
基准数法是指当遇到两个以上的数相加,且这些数相互接近时,可以取-个中间数作为基准,然 后再加上每个加数与基准数的差,从而求得它们的和。
如果两个数的和正好可以凑成整十、整百、整千,那么我们就可以说这两个数互为补数,其中的-个加数叫做另一个加数的补数。
【例题 1】1996 + 1998 + 2001+2003 + 2007 的值是( )
A.10005 B.10015 C.20005 D. 20015
【解析】答案为A。经过观察,算式中5个加数都接近2001,我们把2001称为“基准”,故原式可化为:
原式= (2001 - 5)+ (2001 - 3)+2001 + (2001 + 2)+ (2001 + 6)
= 2001×5 - 5 - 3 + 2 + 6 = 10005
【例题 2】1. 31×12. 5×0. 15×16 = ( )
A. 39. 3 B. 40. 3 C. 26. 2 D. 26. 31
【解析】答案为 A。原式变化为 1.31×12.5×8×2×0. 15 = 1. 31×(12.5×8)×(2×0. 15) = 1.
31×100×0. 3 = 39. 3。
【例题 3】400×0. 491 + 856. 672 + 400×0. 146 + 143. 328 + 400×0. 363 = ( )
A.1398.379 B. 1399. 39 C.1400 D. 1401.562
【解析】答案为C。分析算式,856. 672和143. 328构成补数关系,可以从此处入手。
原式= (856. 672 + 143. 328)+400×(0. 491 + 0. 146 + 0. 363)= 1000 + 400 =
1400
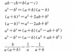
(四)数学公式法
数学公式法是运用数学公式进行运算的-种简便运算方法。考生如能熟记-些基本公式,并能 灵活运用,可以提高运算效率。
常见的公式有:

【例题1】982+4×98 + 4的值为( )
A.10000 B. 1000 C. 100000 D. 9000
【解析】答案为A。核心公式:(a+b2 ) =a2+2ab+b2。仔细观察,不难发现,有98的平方,又有4 =22,中间的数可以视为4×98 =
2×2×98,所以上式即成为982+2×2×98 + 22 = (98 + 2)2 =10000。 【例题2】1235×6788与1234×6789的差值是(
)
A. 5444 B.5454 C.5544 D. 5554
【解析】答案为D。
原式= 1235×6788 - 1234×6788 - 1234
= 6788× (1235-1234)-1234 '
= 6788 -1234 = 5554 |
|