公务员考试论坛

 找回密码
 立即注册
查看: 176|回复: 0

2016年国家公务员考试行分数量关系练习(1)

[复制链接]

63万

主题

63万

帖子

190万

积分

论坛元老

Rank: 8Rank: 8

积分
1907966
发表于 2017-7-29 18:43:50 | 显示全部楼层 |阅读模式
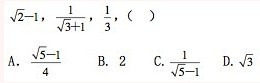
1、
   

    2、某总公司由A、B、C三个分公司构成,若A公司的产出增加10%可使总公司的产出增加2%,若B公司的产出增加10%可使总公司的产出增加5%,问若C公司的产出减少10%可使总公司的产出减少百分之几?
    A. 2         B. 3          C. 4         D. 5
    3、用一根绳子测井台到井水面的深度,把绳对折后垂到井水面,绳子超过井台9米,把绳子三折后垂到井水面,绳子超过井台2米,绳长为多少?( )
    A. 12米      B. 29米      C. 36米      D. 42米
    4、
4辆车运送货物,每辆车可运送16次;7辆车运送,每辆车可运送10次,设增加的车辆数与运送减少的次数成正比且每次运送货物相等,运送货物总量最多是多少车次?(
)
    A. 74         B. 72         C. 68         D. 64
    5、7,14,10,11,14,9,( ),( )
    A. 19,8      B. 18,9     C. 17,8      D. 16,7
   
      参考答案及解析
    1.正确答案是 A
    考点 分数数列
    解析
   

    2.正确答案是 B
    考点 和差倍比问题
    解析
    设总公司产出100,则
    10%A=100×5%,A=50;
    10%B=100×2%,B=20;
    C=100-50-20=30,
    设y为所求,30×10%=100y
    y=3%
    故正确答案为B。
    秒杀技
    A、B、C三个公司的产出均增加10%,则总公司的产出增加10%,由
    3.正确答案是 D
    考点 和差倍比问题
    解析
    设绳长为M米,根据题意得:M/2-9=M/3-2,解得M=42(米)。故正确答案为D。
    4.正确答案是 B
    考点 函数最值问题
    解析
   

    5.正确答案是 A
    考点 交叉数列
    解析
   
回复

使用道具 举报

您需要登录后才可以回帖 登录 | 立即注册

本版积分规则

小黑屋|手机版|Archiver|新都网

GMT+8, 2025-12-1 16:45 , Processed in 0.051028 second(s), 9 queries , WinCache On.

Powered by Discuz! X3.4

© 2001-2017 Comsenz Inc.

快速回复 返回顶部 返回列表