公务员考试论坛

 找回密码
 立即注册
查看: 94|回复: 0

2015国家公务员考试冲刺:数学运算模拟习题(17)

[复制链接]

63万

主题

63万

帖子

190万

积分

论坛元老

Rank: 8Rank: 8

积分
1907966
发表于 2017-7-29 18:43:18 | 显示全部楼层 |阅读模式
【例题】.有一段阶梯,如果每步跨4级,最后会剩下2级,如果每步跨5级,最后则会剩下1级。已知这段阶梯的级数可以被3整除,则这段阶梯共有(
)级。
    A.42 B.46 C.63 D.66
    【例题】某电影院有大、中、小三个放映厅,可容纳的人数依次递减50人,已知大厅有17排,后一排比前一排多2个座位,最后一排有45人,那么小厅可容纳(
)人。
    A.393 B.343 C.493 D.443
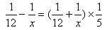
    【例题】校对一份书稿,编辑甲每天的工作效率等于编辑乙、丙每天工作效率之和,丙的工作效率相当于甲、乙每天工作效率之和1/5。如果三人一起校对只需6天就可完成。现在如果让乙一人单独校对这份书稿,则需要(
)天才能完成。
    A.20 B.16 C.24 D.18
    【例题】如图,一块边长为180厘米的正方形铁片,四角各被截去了一个边长为40厘米的小正方形,现在要从剩下的铁片中剪出一块完整的正方形铁片来,剪出的正方形面积最大为(
)平方厘米。
   

    A.16000 B.16500 C.18000 D.18600
    【例题】某网站针对年底上映的两部贺岁电影进行调查,在接受调查的160人中,看过《未来警察》的有91人,看过《杜拉拉升职记》的有59人,22人两部电影都看过,那么,两部电影都没看过的有多少人?(
)
    A.32人 B.12人 C.42人 D.10人 答案:
    D【解析】设阶梯共有x级,x除以4余2,除以5余1,根据同余问题“和同加和”的规律,x可以表示为20N+6,B、D均符合。x因为阶梯的级数可以被3整除,所以排除B项,本题正确答案为D。
    A【解析】设大厅的第一排有x个座位,那么根据项数公式可得17=(45-x)÷2+1,解出x=13。那么大厅总共可以容纳的人数是(13+45)×17÷2=493(人)。又因为大、中、小三个厅可容纳的人数依次递减50人,即小厅比大厅少容纳100人,那么小厅可容纳的人数是493-100=393(人)。答案为A。
    D【解析】三人一起完成校对需要6天,那么三人每天的效率之和是1/6,因为甲每天的工作效率等于乙、丙每天工作效率之和,那么甲的工作效率为1/12,乙、丙的效率和也是1/12设乙单独完成校对需要x天,那么根据题意可得到方程:
   

    解得x=18,即乙单独完成校对需要18天,正确答案为D。
    C【解析】如下图剪裁,所得正方形的面积等于正方形A的面积与4个三角形B的面积之和。
   

   

    A【解析】设两部电影都没看过的有x人,依题意可得:91+59-22+x=160,解得x=32。即有32人两部电影都没看过,答案为A。
回复

使用道具 举报

您需要登录后才可以回帖 登录 | 立即注册

本版积分规则

小黑屋|手机版|Archiver|新都网

GMT+8, 2025-12-1 16:45 , Processed in 0.040501 second(s), 9 queries , WinCache On.

Powered by Discuz! X3.4

© 2001-2017 Comsenz Inc.

快速回复 返回顶部 返回列表